Module 2, Practical 7¶
In this practical we will keep working with data structures. In particular, we will see a special data structure called tree.
Trees¶
An example of tree:

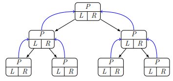
As seen in the lecture, trees can be defined recursively in the following way: a tree is a root and zero or more subtrees, each of which is also a tree. The root of each subtree is connected to the root of the parent tree by an edge.
Graphically:

Some properties of nodes and trees are:
The depth of a node N: the length of the path connecting the root to N counted as number of edges in the path.
The level (n) of a tree: set of nodes at the same depth (n).
Height : is the maximum depth of all leaves.
Width : the maximum number of nodes in each level.
The following tree:

has four levels (0, 1, 2, 3), height equal to 3 and width equal to 4.
ADT: Binary Tree¶
Binary trees are trees where each node has at most two children: the right child and the left child.

The specifications of the binary tree ADT (from the lecture):

When implementing a tree we could (similarly to what we did with linked lists) define a node object, and then a tree object that stores nodes, but we will use the more compact way which is to use the recursive definition of a tree.
[2]:
class BinaryTree:
def __init__(self, value):
self.__data = value
self.__right = None
self.__left = None
self.__parent = None
def getValue(self):
return self.__data
def setValue(self, newValue):
self.__data = newValue
def getParent(self):
return self.__parent
def setParent(self, tree):
self.__parent = tree
def getRight(self):
return self.__right
def getLeft(self):
return self.__left
def insertRight(self, tree):
if self.__right == None:
self.__right = tree
tree.setParent(self)
def insertLeft(self, tree):
if self.__left == None:
self.__left = tree
tree.setParent(self)
def deleteRight(self):
self.__right = None
def deleteLeft(self):
self.__left = None
def printTree(root):
cur = root
#each element is a node and a depth
#depth is used to format prints (with tabs)
nodes = [(cur,0)]
tabs = ""
lev = 0
while len(nodes) >0:
cur, lev = nodes.pop(-1)
#print("{}{}".format("\t"*lev, cur.getValue()))
if cur.getRight() != None:
print ("{}{} (r)-> {}".format("\t"*lev,
cur.getValue(),
cur.getRight().getValue()))
nodes.append((cur.getRight(), lev+1))
if cur.getLeft() != None:
print ("{}{} (l)-> {}".format("\t"*lev,
cur.getValue(),
cur.getLeft().getValue()))
nodes.append((cur.getLeft(), lev+1))
if __name__ == "__main__":
BT = BinaryTree("Root")
bt1 = BinaryTree(1)
bt2 = BinaryTree(2)
bt3 = BinaryTree(3)
bt4 = BinaryTree(4)
bt5 = BinaryTree(5)
bt6 = BinaryTree(6)
bt5a = BinaryTree("5a")
bt5b = BinaryTree("5b")
bt5c = BinaryTree("5c")
BT.insertLeft(bt1)
BT.insertRight(bt2)
bt2.insertLeft(bt3)
bt3.insertLeft(bt4)
bt3.insertRight(bt5)
bt2.insertRight(bt6)
bt1.insertRight(bt5b)
bt1.insertLeft(bt5a)
bt5b.insertRight(bt5c)
printTree(BT)
print("\nDelete right branch of 2")
bt2.deleteRight()
printTree(BT)
print("\nInsert left branch of 5")
newN = BinaryTree("child of 5")
bt5.insertLeft(newN)
printTree(BT)
Root (r)-> 2
Root (l)-> 1
1 (r)-> 5b
1 (l)-> 5a
5b (r)-> 5c
2 (r)-> 6
2 (l)-> 3
3 (r)-> 5
3 (l)-> 4
Delete right branch of 2
Root (r)-> 2
Root (l)-> 1
1 (r)-> 5b
1 (l)-> 5a
5b (r)-> 5c
2 (l)-> 3
3 (r)-> 5
3 (l)-> 4
Insert left branch of 5
Root (r)-> 2
Root (l)-> 1
1 (r)-> 5b
1 (l)-> 5a
5b (r)-> 5c
2 (l)-> 3
3 (r)-> 5
3 (l)-> 4
5 (l)-> child of 5
Download the complete source file: BinaryTree.py
Note that in the code above, to delete the right or left subtree you just set the pointer to null. This destroys the whole subtree (more clever things can be done in some cases, especially with generic trees).
Exercise¶
Modify the BinaryTree class adding a
depthparameter counting, for each subtree, its depth (i.e. distance from the root of the tree). Note that you have to update properly the depth when inserting a new node. Add agetDepthandsetDepthmethod too.
Test the code printing the depth of all the nodes of the binary graph:

that can be created with:
BT = BinaryTree("Root")
bt1 = BinaryTree(1)
bt2 = BinaryTree(2)
bt3 = BinaryTree(3)
bt4 = BinaryTree(4)
bt5 = BinaryTree(5)
bt6 = BinaryTree(6)
bt5a = BinaryTree("5a")
bt5b = BinaryTree("5b")
bt5c = BinaryTree("5c")
bt7 = BinaryTree(7)
bt8 = BinaryTree(8)
BT.insertLeft(bt1)
BT.insertRight(bt2)
bt2.insertLeft(bt3)
bt3.insertLeft(bt4)
bt3.insertRight(bt5)
bt2.insertRight(bt6)
bt1.insertRight(bt5b)
bt1.insertLeft(bt5a)
bt5b.insertRight(bt5c)
bt4.insertRight(bt7)
bt4.insertLeft(bt8)
Show/Hide Solution
Tree visit¶
Binary Tree visits: DFS¶
Given a tree T, depth first search (DFS) visits all the subtrees of T going as deep as it can before going back and down another branch until all the tree is visited.
DFS requires a stack and can be implemented recursively. What we do with the root during the visit defines 3 different types of visits:
the root is visited before the visiting the subtree : pre-order;
the root is visited after the left subtree but before the right subtree : in-order;
the root is visited after the left and right subtrees : post-order.

Depth-first traversal (dotted path) of a binary tree:
Pre-order (node visited at position red): F, B, A, D, C, E, G, I, H;
In-order (node visited at position green): A, B, C, D, E, F, G, H, I;
Post-order (node visited at position blue): A, C, E, D, B, H, I, G, F.
Example: Let’s implement the three versions of DFS and apply them to the binary tree seen above.
[4]:
class BinaryTree:
def __init__(self, value):
self.__data = value
self.__right = None
self.__left = None
self.__parent = None
def getValue(self):
return self.__data
def setValue(self, newValue):
self.__data = newValue
def getParent(self):
return self.__parent
def setParent(self, tree):
self.__parent = tree
def getRight(self):
return self.__right
def getLeft(self):
return self.__left
def insertRight(self, tree):
if self.__right == None:
self.__right = tree
tree.setParent(self)
def insertLeft(self, tree):
if self.__left == None:
self.__left = tree
tree.setParent(self)
def deleteRight(self):
self.__right = None
def deleteLeft(self):
self.__left = None
def preOrderDFS(self):
if self != None:
r = self.getRight()
l = self.getLeft()
print(self.getValue()) # print before recursive calls!
if l != None:
l.preOrderDFS()
if r != None:
r.preOrderDFS()
def inOrderDFS(self):
if self != None:
r = self.getRight()
l = self.getLeft()
if l != None:
l.inOrderDFS()
print(self.getValue()) # print in the between the recursive calls!
if r != None:
r.inOrderDFS()
def postOrderDFS(self):
if self != None:
r = self.getRight()
l = self.getLeft()
if l != None:
l.postOrderDFS()
if r != None:
r.postOrderDFS()
print(self.getValue()) # print after the recursive calls!
def printTree(root):
cur = root
#each element is a node and a depth
#depth is used to format prints (with tabs)
nodes = [(cur,0)]
tabs = ""
lev = 0
while len(nodes) >0:
cur, lev = nodes.pop(-1)
#print("{}{}".format("\t"*lev, cur.getValue()))
if cur.getRight() != None:
print ("{}{} (r)-> {}".format("\t"*lev,
cur.getValue(),
cur.getRight().getValue()))
nodes.append((cur.getRight(), lev+1))
if cur.getLeft() != None:
print ("{}{} (l)-> {}".format("\t"*lev,
cur.getValue(),
cur.getLeft().getValue()))
nodes.append((cur.getLeft(), lev+1))
if __name__ == "__main__":
BT = BinaryTree("Root")
bt1 = BinaryTree(1)
bt2 = BinaryTree(2)
bt3 = BinaryTree(3)
bt4 = BinaryTree(4)
bt5 = BinaryTree(5)
bt6 = BinaryTree(6)
bt5a = BinaryTree("5a")
bt5b = BinaryTree("5b")
bt5c = BinaryTree("5c")
BT.insertLeft(bt1)
BT.insertRight(bt2)
bt2.insertLeft(bt3)
bt3.insertLeft(bt4)
bt3.insertRight(bt5)
bt2.insertRight(bt6)
bt1.insertRight(bt5b)
bt1.insertLeft(bt5a)
bt5b.insertRight(bt5c)
printTree(BT)
print("Pre-order DFS:")
BT.preOrderDFS()
print("\nIn-order DFS:")
BT.inOrderDFS()
print("\nPost-order DFS:")
BT.postOrderDFS()
Root (r)-> 2
Root (l)-> 1
1 (r)-> 5b
1 (l)-> 5a
5b (r)-> 5c
2 (r)-> 6
2 (l)-> 3
3 (r)-> 5
3 (l)-> 4
Pre-order DFS:
Root
1
5a
5b
5c
2
3
4
5
6
In-order DFS:
5a
1
5b
5c
Root
4
3
5
2
6
Post-order DFS:
5a
5c
5b
1
4
5
3
6
2
Root
Download the complete source file: BinaryTreeDFSVisits.py
Compare the results above with the graph:

Binary Tree visits: BFS¶
Breadth first search visits all the higher levels of a tree before going down. Basically, this search goes as wide as it can before going deep.
This visit makes use of a queue: for each tree, it adds the left and right subtrees to the queue and recursively visits them in the order they have been pushed into the queue.
As said, implementations of BFS make use of a FIFO queue. In Python, we can use the efficient deque data structure that is implemented in the collections module (remember to import it first with from collections import deque and use deque.append to add at the end and deque.popleft to remove from the beginning).
Example: Let’s implement a BFS method and apply it to binary tree seen above.
[5]:
from collections import deque
class BinaryTree:
def __init__(self, value):
self.__data = value
self.__right = None
self.__left = None
self.__parent = None
def getValue(self):
return self.__data
def setValue(self, newValue):
self.__data = newValue
def getParent(self):
return self.__parent
def setParent(self, tree):
self.__parent = tree
def getRight(self):
return self.__right
def getLeft(self):
return self.__left
def insertRight(self, tree):
if self.__right == None:
self.__right = tree
tree.setParent(self)
def insertLeft(self, tree):
if self.__left == None:
self.__left = tree
tree.setParent(self)
def deleteRight(self):
self.__right = None
def deleteLeft(self):
self.__left = None
def BFS(self):
if self != None:
level = deque()
level.append(self)
while len(level) > 0:
#print(len(level))
cur = level.popleft()
print(cur.getValue())
r = cur.getRight()
l = cur.getLeft()
if l != None:
#print("from {} Appending: {}".format(cur.getValue(),
# l.getValue()))
level.append(l)
if r != None:
level.append(r)
#print("from {} Appending: {}".format(cur.getValue(),
# r.getValue()))
def printTree(root):
cur = root
#each element is a node and a depth
#depth is used to format prints (with tabs)
nodes = [(cur,0)]
tabs = ""
lev = 0
while len(nodes) >0:
cur, lev = nodes.pop(-1)
#print("{}{}".format("\t"*lev, cur.getValue()))
if cur.getRight() != None:
print ("{}{} (r)-> {}".format("\t"*lev,
cur.getValue(),
cur.getRight().getValue()))
nodes.append((cur.getRight(), lev+1))
if cur.getLeft() != None:
print ("{}{} (l)-> {}".format("\t"*lev,
cur.getValue(),
cur.getLeft().getValue()))
nodes.append((cur.getLeft(), lev+1))
if __name__ == "__main__":
BT = BinaryTree("Root")
bt1 = BinaryTree(1)
bt2 = BinaryTree(2)
bt3 = BinaryTree(3)
bt4 = BinaryTree(4)
bt5 = BinaryTree(5)
bt6 = BinaryTree(6)
bt5a = BinaryTree("5a")
bt5b = BinaryTree("5b")
bt5c = BinaryTree("5c")
BT.insertLeft(bt1)
BT.insertRight(bt2)
bt2.insertLeft(bt3)
bt3.insertLeft(bt4)
bt3.insertRight(bt5)
bt2.insertRight(bt6)
bt1.insertRight(bt5b)
bt1.insertLeft(bt5a)
bt5b.insertRight(bt5c)
printTree(BT)
print("BFS:")
BT.BFS()
Root (r)-> 2
Root (l)-> 1
1 (r)-> 5b
1 (l)-> 5a
5b (r)-> 5c
2 (r)-> 6
2 (l)-> 3
3 (r)-> 5
3 (l)-> 4
BFS:
Root
1
2
5a
5b
3
6
5c
4
5
Download the complete source file: BinaryTreeBFSVisit.py
Compare the results above with the graph:

Exercises¶
The width of a binary tree T is the largest number of nodes that belong to the same level. The minimal height of a binary tree T is the minimal distance between the root and its closest leaf in its subtree. This distance is counted in number of nodes.
Given the BinaryTree defined above:
Write a function
getWidth(T)that given a tree T, returns the width of T. Hint: get all nodes at each level and count them.Write a function
getMinHeight(T)that given a tree T, returns the minimal height of T (in number of nodes). Hint: stop at first level with a leaf (similar to previous function).Write a function
nodesAtLevel(T,k)that given a binary tree T and an integer k, returns the nodes at level k.
Test the functions with the following binary graph:

that can be created with:
BT = BinaryTree("Root")
bt1 = BinaryTree(1)
bt2 = BinaryTree(2)
bt3 = BinaryTree(3)
bt4 = BinaryTree(4)
bt5 = BinaryTree(5)
bt6 = BinaryTree(6)
bt5a = BinaryTree("5a")
bt5b = BinaryTree("5b")
bt5c = BinaryTree("5c")
bt7 = BinaryTree(7)
bt8 = BinaryTree(8)
bt9 = BinaryTree(9)
bt10 = BinaryTree(10)
BT.insertLeft(bt1)
BT.insertRight(bt2)
bt2.insertLeft(bt3)
bt3.insertLeft(bt4)
bt3.insertRight(bt5)
bt2.insertRight(bt6)
bt1.insertRight(bt5b)
bt1.insertLeft(bt5a)
bt5b.insertRight(bt5c)
bt4.insertRight(bt7)
bt4.insertLeft(bt8)
bt6.insertRight(bt10)
bt6.insertLeft(bt9)
Show/Hide Solution
Given the BinaryTree used so far, implement a
getCommonAncestor(n1,n2)method that gets the common ancestor between the two nodes n1 and n2.

For example, considering the graph above:
getCommonAncestor(7,5) = 3
getCommonAncestor(7,10) = 2
getCommonAncestor(8,5b) = Root
Show/Hide Solution
A Binary Search Tree is a binary tree with the following properties:
The left subtree of a node contains only nodes with values lower than that of the node.
The right subtree of a node contains only nodes with values greater than the node’s.
No duplicate nodes are allowed.
Implement:
a function
BST = createBST(inList)that gets a list of integers (or strings) and returns a BinaryTree that is a Binary Search Tree;a search function
searchBST(BST, element)that gets an integer (or string) and checks if it is present in the Binary Search Tree.modify the
inOrderDFS(self)method to return a list of visited nodes using in-order depth first search. Test the method by printing the first 100 elements to show that they are actually sorted (this is a sorting algorithm indeed!);
Test the code with the following intList:
import random
intList = []
for i in range(1000):
inList.append(random.randint(0,10000))
Show/Hide Solution
ADT: Generic Tree¶
Generic Trees are like binary trees, but each node can have more than 2 children. One possible implementation is that each node (that is a subtree in itself) has a value, a link to its parent and a list of children.
Another implementation is that each node has a value, a link to its parent, a link to its next sibling and a link to its first child:

We will be using this latter implementation of the tree.
The Generic Tree ADT seen at lecture follows:

Given the following generic tree:

Exercise (implementation)¶
Implement the
GenericTreeclass representing the ADT seen above and create the tree in the picture above.
Show/Hide Solution